| Components |

| 1. Turbo manifold module
2. Turbo manifold module gasket 3. Heat protector 4. Warm-up catalytic converter (WCC) heat protector 5. Oil feed pipe 6. Turbo manifold module stay |
7. Oil drain pipe 8. Turbocharger oil drain pipe gasket A 9. Turbocharger oil drain pipe gasket B 10. Warm-up catalytic converter (WCC) 11.Warm-up catalytic converter (WCC) gasket |
| Removal and Installation |
| 1. |
Remove the engine cover. (Refer to Engine and Transmission Assembly - "Engine Cover") |
| 2. |
Disconnect the negative battery terminal. |
| 3. |
Remove the engine room front under cover. (Refer to Engine and Transmission Assembly - "Engine Room Under Cover") |
| 4. |
Remove the air intake hose. (Refer to Intake and Exhaust System - "Air Cleaner") |
| 5. |
Disconnect the recirculation valve connector (A) and the vacuum hose (B).
|
| 6. |
Remove the intercooler inlet hose & pipe assembly (A).
|
| 7. |
Remove the turbocharger inlet hose (A).
|
| 8. |
Remove the heat protector (A).
|
| 9. |
Remove the heated oxygen sensor. (Refer to Engine Control / Fuel System - " Heated Oxygen Sensor ( HO2S)") |
| 10. |
Remove the warm-up catalytic converter (WCC) heat protector (A).
|
| 11. |
Remove the front muffler. (Refer to Intake and Exhaust System - "Muffler") |
| 12. |
Remove the warm-up catalytic converter (WCC) stay (A).
|
| 13. |
Remove the RH hood sealing cover (A).
|
| 14. |
Remove the warm-up catalytic converter (WCC) (A) and gasket.
|
| 15. |
Remove the turbocharger water feed pipe & hose (A).
|
| 16. |
Remove the oil feed pipe (A).
|
| 17. |
Disconnect the turbocharger water drain hose (A).
|
| 18. |
Remove the turbocharger oil drain pipe (A)
|
| 19. |
Remove the turbo manifold module stay (A).
|
| 20. |
Remove the turbo manifold module (A).
|
| On-vehicle Inspection |
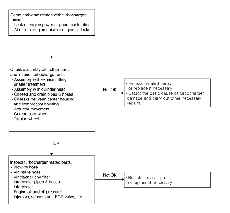
| Turbocharger Diagnostic Flow |

If any problem related with turbocharger, such as lack of engine power, poor acceleration, abnormal engine noise or oil leaks, may occur, check the turbocharger according to the procedure as follows.
| 1. |
Check for assembling of the turbocharger and the exhaust fitting (or the after treatment).
If a gas leak occur as a gasket was not installed or mounting bolts (or nuts) were tightened inadequately, it may cause abnormal engine noise. If the cause of the problem is detected, retighten the mounting bolts (or nuts) as the specified torque or replace the gasket or damaged parts with new ones if necessary. |
| 2. |
Check for assembling of the exhaust manifold and the cylinder head.
If a gas leak occur as a gasket was not installed or mounting bolts (or nuts) were tightened inadequately, it may cause abnormal engine noise. If the cause of the problem is detected, retighten the mounting bolts (or nuts) as the specified torque or install a new gasket if necessary. |
| 3. |
Check the turbocharger oil feed pipe & hose and oil drain pipe & hose.
If a gas leak occur as a gasket was not installed or mounting bolts were tightened inadequately, it may cause oil leaks. If the oil feed pipe & hose is damaged, engine oil is not supplied sufficiently to the turbocharger then it may damage the turbocharger. If the oil drain pipe & hose is damaged and clogged, engine oil is not drained smoothly then it may cause oil leaks from the turbocharger. If the cause of the problem is detected, retighten the mounting bolts (or nuts) as the specified torque or replace the gasket or damaged parts with new ones if necessary. |
| 4. |
Check for oil leaks between center housing and compressor housing.
If the O-ring (gasket) between the center housing and the compressor housing is damaged, it may cause oil leaks. If an oil leak is detected, replace the turbocharger with a new one. |
| 5. |
Check the turbocharger actuator.
If the turbocharger actuator is damaged, it may cause lack of engine power and poor acceleration. If the actuator rod does not move, replace the turbocharger with a new one. |
| 6. |
Check the turbocharger compressor wheel.
If the compressor wheel are damaged, it may cause abnormal noise from the turbocharger and poor acceleration. If the compressor wheel are damaged or deformed, replace the turbocharger with new ones. |
| 7. |
Check the turbocharger turbine wheel.
If the turbine wheel are damaged, it may cause abnormal noise from the turbocharger and poor acceleration. If the turbine wheel are damaged or deformed, replace the turbocharger with new ones. |
If any problem is not detected in the turbocharger, check the turbocharger-related parts according to the procedure as follows.
| 1. |
Check the blow-by hose. (Refer to FL group)
If the breather hose is bent or clogged, the internal pressure in the engine increases then engine oil is not supplied smoothly to the turbocharger. So it may cause damage of the turbocharger and oil leaks. If the cause of the problem is detected, replace the breather hose or the related parts with new ones. |
| 2. |
Check the air intake hose connected to the turbocharger.
If a cross-section of the hose diminishes as the air intake hose is bent or crushed, intake air to the turbocharger reduces and the pressure in front of turbocharger drops. So it may cause damage of the turbocharger and oil leaks. If the air intake hose is detached or torn, a foreign substance goes into the turbocharger and causes damage of it. If the air intake hose is damaged, replace it with a new one. |
| 3. |
Check the air cleaner.
If the air cleaner filter is moistened or polluted excessively or a non-genuine part is used, intake air to the turbocharger reduces and the pressure in front of turbocharger drops. So it may cause damage of the turbocharger and oil leaks. . If the air cleaner filter is moistened or polluted excessively, replace it with a new one.
|
| 4. |
Check the intercooler hoses & pipes.
If the intercooler hoses & pipes are damaged or disconnected, oil leaks may occur from the hoses & pipes and the turbocharger may exceed the permissible speed then it may cause damage of the turbocharger. If the intercooler hoses & pipes are damaged, replace them with new ones.
|
| 5. |
Check the intercooler.
If the intercooler is damaged, the turbocharger may exceed the permissible speed then it may cause damage of the turbocharger. If the intercooler is damaged, replace them with a new one.
|
| 6. |
Check the engine oil.
If the engine oil level is low, amount of engine oil fed to turbocharger reduces then the bearings in the turbocharger may adhere due to insufficient lubrication and cooling. If the cause of the problem is detected, add or change engine oil.
|
| 7. |
Check the engine oil pressure.
If the engine oil level is low, amount of engine oil fed to turbocharger reduces then the bearings in the turbocharger may adhere due to insufficient lubrication and cooling. If the cause of the problem is detected, add or change engine oil. If foreign substances are accumulated on the oil screen, wash the oil screen and replace the injector’s washer with a new one after checking the injectors for gas leaks. Check the engine oil-related parts, such as oil pump, if necessary.
|
| 8. |
Check the injectors, sensors, etc. (Refer to FL group)
If the injectors, sensors and etc. don’t work properly, it may cause lack of engine power. If the cause of the problem is detected, replace the related parts with new ones. |
Kia Stinger (CK) 2018-2023 Service Manual: Emergency Signal System
Description and operation Description Introduction of quick brake warning system (ESS) In case of quick brake by driver, the brake lamp or turn signal is blinked to warn against the vehicle at rear. 1. Basic function (Blinking the brake lamp/emergency lamp) – Operation condition: In case of quick brake or operation of ABS above in a certain speed – Releasing condition: In case of stopping the quick brake or releasing the ABS operation 2.Kia Stinger (CK) 2018-2023 Service Manual: General Service Information
General information Identification Number Locations Protection of the Vehicle Always be sure to cover fenders, seats, and floor areas before servicing. Insert the supportive rod into the hole at the edge of the hood whenever inspecting the engine compartment to prevent the hood from falling and causing possible injury.